S
teward
分享是一種喜悅、更是一種幸福
掌機
- Gaviar (小志掌機) -
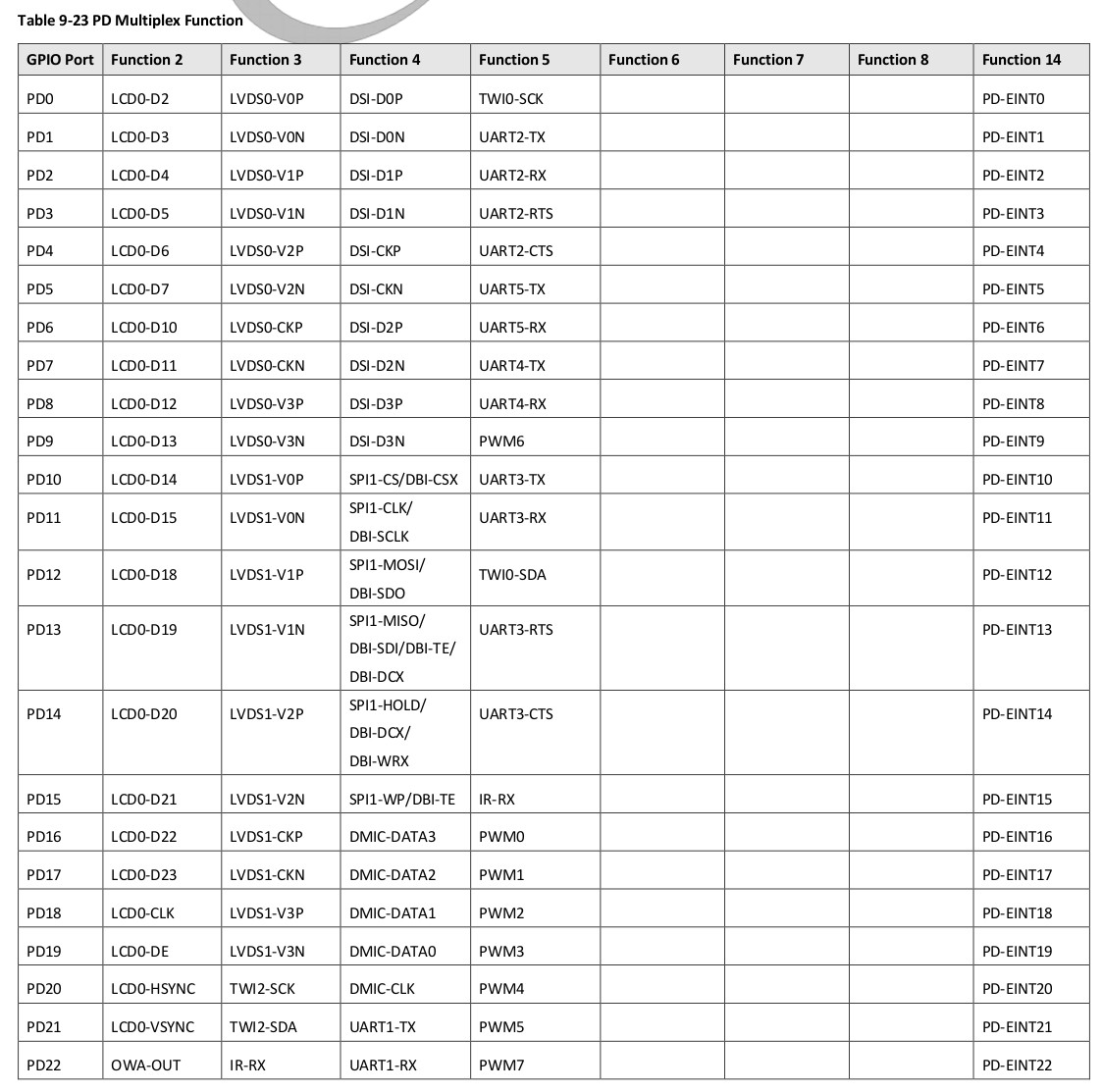
GPIO Multiplex Function